![]() |
DatenkommunikationProf. Jürgen Plate |
Beispiele für Anwendungen der Datenkommunikation:
| Fragen: | Was ist "Information"? |
| Was sind "Nachrichten"? | |
| Wie wird Information weitergegeben? | |
| Wie wird Information dargestellt? |
Neben der Energie (und der Materie) ist Information eine zweite Basisgröße von universeller Bedeutung. Ihre Eigenständigkeit wurde erst spät erkannt, da ihre Weitergabe immer an energetische oder materielle Träger gebunden ist. An Informationen gelangt man über Nachrichten. Die Definition von Information in der Informatik deckt sich nicht ganz mit dem umgangssprachlichen Gebrauch.
Anders formuliert:
Nachrichten und Informationen sind nicht identisch, insbesondere kann die gleiche Nachricht (mit gleicher Information) auf verschiedene Empfänger unterschiedliche Wirkung haben. Es gibt aber auch Nachrichten, die subjektiv keine Information enthalten.
Bei a) gibt es nur zwei Möglichkeiten (kleiner/größer 25 Grad), bei b) sind theoretisch beliebig viele Möglichkeiten gegeben. Also ist bei b) die Information größer. Daraus folgt, daß Information mit der Zahl der Möglichkeiten zu tun hat.
Der Informationsgehalt einer Nachricht ist also feststellbar und wird durch die Anzahl der (rechts-links) Entscheidungen bestimmt und wird in "bit" gemessen. 1 bit entspricht dabei einer Entscheidung:
| Einfacher Weg: | Information 1 bit |
| Komplizierter Weg: | 2 Weggabelungen --> 4 Möglichkeiten, 2 bit 3 Weggabelungen --> 8 Möglichkeiten, 3 bit 4 Weggabelungen --> 16 Möglichkeiten, 4 bit usw. |
Das Shannonsche Informationsmaß H, oder kurz die Datenmenge, ist definiert als:
| Dabei gilt: N = Gesamtzahl der verwendeten Zeichen pi = Wahrscheinlichkeit für das Auftreten des Zeichens i ld = Logarithmus zur Basis 2 |
Sind alle Symbole gleichwahrscheinlich, vereinfacht sich die Formel zu: H = ld(N) bit
Anmerkung:
ld = logarithmus dualis: y = 2n --> n = ld(y)
Umrechnung: ld z = lg(z)/lg(2) = ln(z)/ln(2) (Basis beliebig)
Beträgt die Zeichenzahl N = 2n, so werden n bit übertragen. Man könnte dies als n aufeinanderfolgende Antworten auf jeweils eine Ja-Nein-Frage auffassen.

Jedes Astende (Blatt) entspricht dann einem Zeichen, also ergeben sich 23 = 8 Zeichen, die hiermit übertragen werden können.
Nachricht:
Zusammenstellung von Symbolen (Zeichen) zur
Informationsübermittlung.
Symbol:
Element eines Symbol- oder Zeichenvorrates. Dieser Vorrat ist
eine festgelegte endliche Menge von verschiedenen Symbolen (=
Elemente der Menge). Der Unterschied zwischen Symbol und Zeichen
ist recht subtil. Ein Symbol ist ein Zeichen mit bestimmter
Bedeutung.
Alphabet:
Ein geordneter Vorrat von Symbolen.
Wort:
Folge von "zusammengehörigen" Zeichen, die in einem
bestimmten Zusammenhang als Einheit betrachtet werden.
Beispiel:
Alphabet: A,B,C,D,E,F,...,X,Y,Z
Wort: DONALD
Nachricht: DONALD SUCHT DAISY
Nachrichten können durch Signale physikalisch dargestellt werden, z. B. Schallwellen, elektromagnetische Wellen, Ströme, Spannungen, Licht, etc. Dabei wird zwischen digitalen und analogen Signalen unterschieden.
Analoge (wertkontinuierliche) Signale:
Digitale (wertdiskrete) Signale:
Hier gibt es nur eine endliche Zahl von möglichen Zuständen
einer physikalischen Größe (im einfachsten Fall zwei), z. B.
Ziffernanzeige eine Meßinstruments, Folge von Ziffern. Da die
meisten physikalischen Größen analog sind, wird oft eine
Quantelung vorgenommen, z. B. eine Spannung zwischen 6,5 V und
7,5 V auf 7 V gequantelt.
Daher unterscheidet man zwischen Analogtechnik und Digitaltechnik. In den normalerweise verwendeten Digitalrechnern wird eine Digitaltechnik mit nur zwei möglichen Werten eingesetzt. Diese beiden Signale (meist durch "0" und "1" dargestellt) müssen in irgend einer Form aus dem Signal erkennbar sein. Je nach verwendeter phsikalischer Größe ergeben sich oft mehrere eindeutige Möglichkeiten für die "0" oder "1" .

Die zu übertragenden Daten werden im Rhythmus eines Sendetaktes auf das Übertragungsmedium gegeben. Damit die Information korrekt wiedergewonnen werden kann, muß am Empfangsort eine Abtastung der empfangenen Signale zum richtigen Zeitpunkt erfolgen. Der Empfangstakt muß zum Sendetakt synchron sein. In der Regel werden die Daten in einen seriellen Bitstrom umgewandelt, d. h. ein Byte wird Bit für Bit mit einer vorgegebenen Datenrate (= zeitlicher Abstand zweier aufeinanderfolgender Bits) ausgegeben --> (bit-) serielle Schnittstelle. In der Praxis werden unterschiedliche Übertragungsgeschwindigkeiten verwendet. Festgelegt sind folgende Werte:
| 50 | 75 | 110 | 150 | 300 | 600 |
| 1200 | 2400 | 4800 | 9600 | 14400 | 19200 |
| 28800 | 33600 | .... | Bit/s (BPS) |

Dieser Code belegt sieben Bit, und die Zeichen werden in der Regel in einem Byte versendet, wobei oftmals das achte Bit zur Datensicherung, d. h. zur Erkennung von Übertragungsfehlern, verwendet wird. Bei den heute weit verbreiteten IBM-PC-kompatiblen Computern hat man das achte Bit zur Erweiterung des Zeichensatzes verwendet.
Da der Computer die Daten parallel verarbeitet, braucht er für die Ausgabe zunächst eine sogenannte "serielle Schnittstelle", die ein Byte Bit für Bit seriell ausgibt. So wird beispielsweise der Buchstabe "A", der im Computer in der Form des zugehörigen ASCII-Codes als Zahlenwert 65 gespeichert ist, als Folge der acht Bits 01000001 übertragen. Jedem Zeichen wird noch ein Startbit vorangestelt, das immer den Wert 0 hat. Da die Leitung im Ruhezustand immer auf 1 liegt, kann der Empfangsbaustein erkennen, wann ein Zeichen ankommt. Nach den Datenbits kann dann noch ein Prüfbit (Parity) folgen. Zum Schluß folgen dann noch 1 oder 2 Stoppbits, die immer auf 1 liegen und so eine Trennung zum nächsten Startbit bilden.
Eine Zeichenfolge besteht dann aus einer Folge von Datenbits, die für jedes Zeichen von Start- und Stoppbit eingerahmt werden. Zwischen zwei aufeinanderfolgenden Zeichen können sich auch beliebig lange Pausen befinden, da der Beginn eines Zeichens am Startbit eindeutig erkannt wird. Daher nennt man diese Form der Übertragung "asynchron".

Durch die asynchrone Übertragung wird die Übertragungsrate gesenkt, da für z. B. 8 Informationsbits 10 Bits über die Leitung gesendet werden. Eine andere Möglichkeit ist die Übertragung von Datenblöcken von mehreren hundert Bytes ohne Pause zwischen den einzelnen Zeichen. Es müssen dann zwar am Anfang des Blocks einige Füllbytes gesendet werden, damit sich der Empfänger auf den Datenstrom synchronisieren kann, aber danach erfolgt die Datenübertragung ohne Redundanz. So eine Übertragung nennt man "synchron".

Damit der Empfangsbaustein den Anfang der einzelnen Bytes erkennen kann, muß zu Beginn der Datenübertragung eine Synchronisation erfolgen. Dies geschieht durch das Übertragen einiger Synchronisationszeichen (z. B. ASCII-SYN), wonach der Empfänger einrastet. Wenn keine Daten zur Übertragung anstehen, generiert die Hardware automatisch SYN-Zeichen, damit die Synchronisation nicht abreißt. Die synchrone Übertragung erfolgt blockweise. Der Datenblock wird in der Regel durch ein Blocksicherungszeichen (Prüfsumme, CRC) und eine Blockendekennzeichnung abgeschlossen.
| Synchro- nisation |
Datenblock | Block- sicherung |
Block- ende |
Bei der Übertragung per (analoger) Telefonleitung oder per Funk kann man die Basisband-Übertragung nicht verwenden. Die Binärwerte werden in diesem Fall einem höherfrequenten Signal (Sinusträger) aufmoduliert. Dazu ist ein Modem (Modulator-Demodulator) notwendig. Im einfachsten Fall verwandelt ein Modem den seriellen Bitstrom beispielsweise in Töne unterschiedlicher Höhe, für die "0" einen tieferen Ton und für die "1" einen höheren Ton (Modem = DÜE = Datenübertragungseinrichtung; der Computer wird DEE = Datenendeinrichtung genannt).
| Computer | ___ |
Modem | _____ |
Öffentliches Telefonnetz | _____ |
Modem | ___ |
Computer |
Bei den Geräten der ersten Generation wurde der Telefonhörer auf einen "Akustikkoppler" mit Lautsprecher und Mikrophon aufgelegt. Dieser "pfiff" auf diese Weise die Daten in die Telefonleitung. Am anderen Ende der Leitung wurden dann die Tonsignale demoduliert und in digitale Informationen umgewandelt. Man kann sich natürlich den akustischen Umweg sparen und die Signale direkt in die Telefonleitung einspeisen, was heute die Regel ist. Das folgende Bild zeigt den schematischen Aufbau eines Modems.

Modems gibt es für die unterschiedlichsten Übertragungsraten; mehr darüber erfahren Sie im folgenden Abschnitt. Zur Zeit sind Modems mit 28800 BPS (= Bit pro Sekunde) Standard. Diese Modems können auch automatisch auf niedrigere Raten herunterschalten. Manche Modems beherschen auch noch die amerikanischen Bell-Normen 103 (300 BPS) und 212A (1200 BPS). Neben Computer und Modem braucht man dann noch ein Datenübertragungsprogramm. Für viele Rechnertypen gibt es auch Modembaugruppen, die im Rechner installiert werden.

Ein Modem sorgt primär also für:
Als Standardeinstellung gelten 8 Datenbits, keine Parität, ein Stoppbit. Bei der Datenrate könnte man annehmen, daß zwischen Modem (Datenübertragungseinrichtung, DÜE) und Computer/Terminal (Datenendeinrichtung, DEE) mit der Geschwindigkeit verkehrt wird, die das Modem auf der Übertragungsstrecke beherrscht. Später wird auf Datenkompressions- und Datensicherungsverfahren hingewiesen, die den effektiven Datendurchsatz erhöhen können. Bei bestimmten Modulationsverfahren ist bei schlechter Verbindung auch ein Fallback auf niedrigere Raten möglich. Bei modernen Modems wird daher die Datenrate zwischen DEE und DÜE auf einen bestimmten Wert festgelegt. Dabei gibt es mehrere Möglichkeiten:
In der Regel wird die erste oder die letzte Möglichkeit verwendet. Viele Modems erkennen am Steuerkommando (Zeichenfolge "AT") automatisch die Datenrate. Aufgrund der Datenkompression kann die effektive Datenrate auch höher als die analoge Datenrate sein, weshalb die DEE-DÜE-Rate dann höher gewählt werden muß (z. B. 19200 BPS zwischen DEE und DÜE bei V.32 (9600 BPS)). Modem und Computer verständigen sich über Sende-/Empfangsbereitschaft entweder softwaremäßig durch abwechselndes Senden eines Stopp- und Startzeichens (XON/XOFF oder ACK/NAK) odder hardwaremäßig über die Leitungen CTS/RTS. Die Anschaltung an die Telefonleitung wird normalerweise von der Leitung DTR gesteuert.
Die Schrittgeschwindigkeit ist 1/T. Ihre Einheit ist baud=1/s. (benannt nach dem Franzosen E. Baudot), die aus der Fernschreibtechnik stammt. In baud wird also die Anzahl der Informationsänderungen pro Sekunde angegeben. Dazu ein Beispiel: Wir definieren für unsere Übertragungsstrecke (in diesem Fall soll es ein einfaches Kabel sein) zwei binäre Zustände 0 und 1. Die 0 soll einer Spannung von 0 Volt entsprechen, die 1 einer Spannung von 5 V. Hier ist die Baudrate gleich der Anzahl der übertragenen Bits/Sekunde.

Je nach Anzahl der Signalwerte kann man unterscheiden:
Weil wir eine analoge Übertragungsleitung haben, können wir auch eine andere Vereinbahrung treffen: Es werden vier unterschiedliche Spannungswerte verwendet, 0 V, 5 V, 10 V und 15 V. Die Bits werden nun zu Paaren (Dibits) zusammengefaßt. Die Zuordnung wird z. B. folgendermaßen gewählt:
00 ---> 0 V 01 ---> 5 V 10 ---> 10 V 11 ---> 15 V
Nun lassen sich mit gleicher Baudrate (!) doppelt so viele Informationsbits übertragen. Man hat dann z. B. 300 Baud, aber 600 BPS. Das Verfahren kann man noch erweitern, indem man 3 oder 4 Bits zu einer Einheit zusammenfaßt. Weitere Verfahren zur Übertragungstechnik werden später noch behandelt.

Es stellt sich nun die Frage, wie hoch sich die Datenrate bei der Telefonleitung schrauben läßt. Die Telefonverbindung hat einen zulässigen Frequenzbereich von 300 Hz bis 3400 Hz. Bedingt durch die Dämpfung lassen sich maximal nur etwa 2500 Hz nutzen. Die maximale Baudrate beträgt das Zweifache der Grenzfrequenz, also 5000 Baud.

Bei einer analogen Verbindung fließt als weitere Größe das Rauschen ein. Für die Telefonleitung ergibt sich ein Dynamikbereich von -40 dB bis etwa -3 dB, um Übersprechen zwischen einzelnen Leitungen zu vermeiden. Ist vs=1/T die Schrittgeschwindigkeit (Signalrate) in baud, so gilt für die Übertragungsrate (Bitrate)
wobei n die Zahl der Signalewerte angibt.
Jedes Übertragungsmedium bzw. -system transportiert nur ein endliches Frequenzband. Die Breite dieses Frequenzbereiches heißt Bandbreite.

Aus diesem Grunde sind auch die Übertragungsraten von Kanälen beschränkt. Ist H die Bandbreite des Kanals in Hz, V die Zahl der Signalwerte für die Kodierung so gilt für einen rauschfreien Kanal (Nyquist, 1924):
Für einen Kanal mit zufälligem Rauschen gilt (Shannon, 1948):
wobei S/N der Rauschabstand ist (normalerweise 10*log(S/N)). Für eine gute Verbindung kann man hier etwa 35 dB setzen. Daraus ergibt sich eine maximale Kapazität von ca. 30000 BPS.
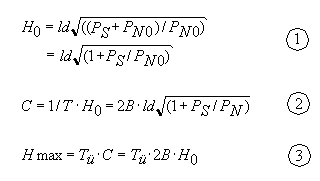
Im Fall der Überlagerung von Signal (Leistung Ps) und Rauschen (Leistung PN0) gilt als Entscheidungsgehalt H0 eines einzelnen Augenblickswertes in Bit (Formel 1)

Voraussetzung dabei ist, daß Signal und Rauschen normalverteilt sind, d.h. daß sie in ihrer Frequenzverteilung einer Gauß'schen Glockenkurve entsprechen. Das Signal-Rausch-Verhältnis ist die maßgebliche Größe. Die Wurzel aus dem Quotient von Gesamtleistung (Signal und Rauschen) und Rauschleistung kann als die Zahl der unterscheidbaren Amplitudentufen interpretiert werden, wenn ein Vergleich mit H0 = ld(1/P) [bit] für diskrete Informationsquellen gezogen wird.
Der Informationsgehalt H kann maimal den Wert des Entscheidungsgehalts H0 erreichen. Es kommt dabei auf die Verteilungsdichte der Signale an. Nach C. E. Shannon kann die Kapazität C eines durch normalverteiltes Rauschen gestörten Kanals der Bandbreite B berechnet werden. Im Kanal wird zum Signal zusätzliches Rauschen addiert. Das Gesamtrauschen an der Senke sei n(t) und dessen Leistung PN. Für den Entscheidungsgehalt ist jetzt im obigen Zusammenhang für PN0 die Rauschleistung PN einzusetzen. Nach dem Abtasttheorem von Shannon kann mit Abtastwerten im Abstand T = 1/(2B) der gesamte Inhalt der Signalfunktion s(t) erfasst werden. Damit kann pro Zeiteinheit die maximal mögliche Anzahl unabhängiger Funktionswerte übertragen werden.
Die Kanalkapazität dazu wird in Formel 2 oben angegeben (Einheit Bit/s). Innerhalb der Übertragungszeit T0 kann der maximale Gesamtinformationsgehalt Hmax gemäß Formel 3 übertragen werden. Dieses Produkt lässt sich als Volumen eines Quaders darstellen, dessen Kantenlängen durch die genannten drei Kenngrößen bestimmt werden.

Die zu übertragende Informationsmenge Hmax läßt sich nach K. Küpfmüller als Volumen eines Quaders, des sogenannten Nachrichtenquaders, darstellen. Eine bestimmte Informationsmenge kann grundsätzlich mit beliebigen Werten von
Wird der Entscheidungsgehalt konstant gehalten, so kann die Bandbreite und die Übertragungszeit verändert werden unter der Bedingung, daß das Produkt aus beiden konstant bleibt. Diese Beziehung wird nach Küpfmüller auch als "Zeitgesetz der elektrischen Nachrichtenübertragung" bezeichnet. Es besagt, daß die Zeit zur Übertragung einer Nachricht um so größer sein muß, je kleiner die zur Verfügung stehende Frequenzbandbreite ist.
Soll die Dauer einer Nachricht unverändert bleiben, dann kann die Bandbreite sowie der Entscheidungsgehalt geändert werden unter der Bedingung, daß das Produkt aus beiden konstant bleibt. Das heißt, es kann eine Nachricht durch Frequenzbandkompression an einen Kanal (mit C >= H') angepaßt werden, der eine für das Signal zu geringe Bandbreite besitzt, oder durch Frequenzbanddehnung an einen Kanal, der einen zu niedrigen Störabstand aufweist.
Durch Senden eines 2100-Hz-Tons kann das Modem die Echosperren abschalten. Nun müssen aber die beiden miteinander verbundenen Modems mit den Echos der gesendeten Signale zurechtkommen:
Bei reiner Frequenzmodulation ist die Filterung leicht, da man beide Modems nur auf unterschiedlichen Frequenzbändern arbeiteten lassen muß (Answer/Originate-Mode). Bei quadraturamplitudenmodulierten Signalen nutzen beide Stationen die volle Bandbreite des Sprachkanals. Hier muß bei jeder Verbindung die Echokompensation an die Leitung angepaßt werden (Pegel, Laufzeit). Daher verwenden solche Modems in der Regel einstellbare Filter oder digitale Signalprozessoren. Bei der Verbindungsaufnahme "trainieren" sich beide Modems durch abwechselndens Senden kurzer, festgelegter Signalfolgen. So ist bei schlechter Leitungsqualität auch ein "Fallback" auf niedrigere Datenraten möglich.
Bei der Amplitudenmodulation (ASK=Amplitude Shift Keying, Amplitudentastung)
wird die Amplitude (Signalspannung) des Signals verändert, das eine konstante
Frequenz besitzt. Im einfachsten Fall erfolgt dies durch Ein- und Austasten des
Trägers. Die Grundfrequenz des Trägers ist wesentlich höher, als die
Anzahl der Austastvorgänge. Es ist das einfachste Verfahren, aber Unterbrechung
und Nullbits sind voneinander nicht unterscheidbar.
Bei der Frequenzmodulation wird die Frequenz (Tonhöhe) bei einem Signal
bei konstanter Amplitude verändert (FSK=Frequency Shift Keying, Frequenzumtastung).
Den Wertigkeiten "1" und "0" werden zwei verschiedene Frequenzen
zugeordnet. Zum Duplexbetrieb werden unterschiedliche Träger-Frequenzen für
den Hinweg (Originate) und Rückweg (Answer) verwendet. Eine Unterbrechung
(Ausfall des Trägers) ist erkennbar.
Bei der Phasenmodulation (PSK=Phase Shift Keying, Phasenumtastung) hat das Signal
eine konstante Frequenz. Es werden hier Phasensprünge in die Sinusschwingung
"eingebaut". Stellen Sie sich eine Sinusschwingung vor. Ein Phasensprung
führt dann zu einer bestimmten Amplitude, die vom Phasenwinkel abhängt,
d. h. die Sinuswelle wird in ihrem Schwingungsanfang um den entsprechenden Phasenwinkel
verändert. Mit PSK sind hohe Übertragungsraten erreichbar, aber es wenden
auch hohe Anforderungen an die Hardware gestellt.

Doch nun zu den einzelnen Übertragungsstandards, wie sie vom CCITT (Comit‚ Consultativ International T‚l‚graphique et T‚l‚phonique), heute ITU (Internatinal Telecommunications Union), definiert wurden. Die Übertragungsgeschwindigkeiten unter 2400 Bit/s werden heute kaum noch verwendet. Der Grund für die Entwicklung ist eigentlich die oben schon erwähnte Begrenzung der Bandbreite einer analogen Telefonverbindung auf eine Bandbreite von etwas mehr als 3000 Hz. Durch ständige Verbesserung von Sende- und Empfangshardware wird versucht, immer höhere Übertragungsgeschwindigkeiten zu erreichen. Bei modernen Modems werden häufig digitale Signalprozessoren eingesetzt, die mit Hilfe von Digital-Analog- und Analog-Digitalwandlern per Software analoge Funktionen (z. B. Filter, Demodulator, Modulator) nachbilden können. Diese Modems können häufig durch ein Softwareupdate an neue Verfahren angepaßt werden. Da der Signalprozessor prinzipiell jedes Analoge Signal verarbeiten kann, haben solche Modems häufig auch die Möglichkeit der Sprachaufzeichnung und -wiedergabe implementiert. Zusammen mit dem passenden Computerprogramm können sie dann auch als Anrufbeantworter oder Sprach-Auskunftssystem eingesetzt werden.
| Senden | Empfangen | |
| Kanal 0 | 1180 Hz | 1850 Hz |
| Kanal 1 | 980 Hz | 1650 Hz |
Dieses Modulationsverfahren wird bei etlichen Systemen noch beim Verbindungsaufbau verwendet, beispielsweise, um Übertragungsparameter oder das endgültige Übertragungsverfahren azustimmen.

Auch hier wird wieder mit Phasenverschiebung gearbeitet, jedoch wird zusätzlich
die Amplitude moduliert (Quadratur-Amplitudenmodulation). Zusätzlich werden
die Phasenwinkel 45 Grad, 135 Grad, 225 Grad und 315 Grad eingeführt. Mit
einer Baudrate von 600 lassen sich so bei jedem Schritt 4 Bit übertragen.
Zusätzlich ist V.22bis auch zu V.22 kompatibel, so daß auch 1200 BPS
möglich sind. Die Grafik ist schon komplexer:


Es gibt noch einige Abarten von V.29, bei denen es einen zusätzlichen Rückkanal mit 300 BPS gibt. Auf diesem Kanal kann der Empfänger trotz des Halbduplex-Betriebs dem Sender Nachrichten zukommen lassen (Empfangsbestätigung, Abbruch, etc.).


Auf den ersten Blick scheint es, als würden 56k-Modems die durch das Shannon'sche Theorem festgelegte Grenze überschreiten, doch bei genauerem Hinsehen bleibt Shannons Beweis weiterhin gültig. Die 56k-Datenkommunikation basiert nämlich auf einem anderen Prinzip als das der herkömmlichen analogen Modems. 56K-Geräte nutzen die Tatsache, daß der Host beim Provider und die Vermittlungsstelle, an der der Benutzer angeschlossen ist, über eine digitale Leitung verbunden sind. Dementsprechend überträgt der Host die Daten bis dahin digital; erst in der Vermittlungsstelle werden sie in ein analoges Signal gewandelt - die Vermittlungsstelle wird sozusagen zum vorgelagerten Line-Interface des 56k-Senders.
Die Verbindung zwischen Vermittlungsstelle und Benutzer ist
jedoch so kurz, daß die Daten zwar analog, jedoch nicht mittels
Modulation der Phase und Amplitude eines Trägersignals
übertragen werden müssen, sondern als Spannungswerte gesendet
werden können. Damit sind die höheren Geschwindigkeiten
möglich, jedoch nur in Richtung vom Host zum Modem. Umgekehrt
werden die Daten nach herkömmlichen Verfahren, also mit maximal
33,6 kBit/s transportiert.
V.90-Modems handeln unabh„ngig vom Hersteller der angerufenen V.90-Gegenstelle
Verbindungen im 56K-Modus aus. Sofern die Leitungsqualit„t gengt, lassen sich
dann herstellerunabh„ngig Daten von einem 56K-Host mit bis zu 56 000 Bit/s laden.
Geblieben sind die 56K-Voraussetzungen: Ein 56K-Modem, auch Client genannt, kann
Daten mit bis zu 56 000 Bit/s nur von sogenannten 56K-Hosts empfangen. Untereinander
bauen 56K-Clients nur V.34-Verbindungen mit maximal 33,6 kBit/s auf. Die
56K-Technik eignet sich daher speziell fr Internet-Anbieter, stellenweise
dienen aber auch Mailboxen damit.
Eine Datenrate von 56 kBit/s setzt allerdings eine ideale Verbindung zwischen Vermittlungsstelle und Telefondose voraus. In der Praxis ist diese Verbindung jedoch gewöhnlich Störungen ausgesetzt, so daß die maximal mögliche Übertragungsrate kaum erreicht wird. Dies hat V.90, X2 und K56flex in Verruf gebracht. Das geht so weit, daß Kunden zum Kauf von V.34-Modems geraten wurde, da die schnelleren Modems keine höhere Datenrate liefern würden. Kein Modem-Standard kann die maximale Connect-Rate garantieren, denn sie ist von den von Leitung zu Leitung wechselnden Übertragungseigenschaften abhängig.
| ITU-Empfehlung | maximale Schrittgeschw. (Baud) | maximale Bitrate (bps) | Modulations Verfahren |
|---|---|---|---|
| V.21 | 300 | 300 | 2 FSK |
| V.22 | 600 | 1200 | 4 FSK |
| V.22bis | 600 | 2400 | 16 QAM |
| V.27ter | 1600 | 4800 | 8 PSK |
| V.29 | 2400 | 9600 | 16 QAM |
| V.32 | 2400 | 9600 | 32 QAM |
| V.32bis | 2400 | 14400 | 128 QAM |
| V.34 | 3229 | 33600 | 960 QAM |
Eines der ältesten Protokolle war "Kermit" mit einer Blocklänge von maximal 94 Bytes plus Prüfsumme. Bei Kermit werden, wie auch bei allen anderen Protokollen, die Daten in Blöcken gesendet, wobei die Gegenstation jeden Block positiv oder negativ bestätigt. Fehlerhafte Blöcke werden wiederholt. Da z. B. bei einer Unterbrechung der Verbindung Daten oder Bestätigung ausbleiben können wird nach einer festlegbaren Wartezeit (Timeout) die Übertragung abgebrochen. Bei Kermit wird jegliche Kommunikation über komplette Blöcke abgehandelt - auch die Bestätigung besteht aus einem Block, der eben nur ein Nutzzeichen enthält. Der Aufbau eines Kermit-Blocks sieht folgendermaßen aus:
| SOH | LEN | SEQ | TYP | Datenblock | BCC | CR |
| SOH | ASCII-Zeichen "Start of Header" | ||||||||||||||||
| LEN | Anzahl der Zeichen des Blocks (von SEQ bis einschl. BCC) Zur Längenangabe wird 32 addiert, der Wert wird also auf den Bereich ASCII "#" (dezimal 35 = Länge 3) bis "~" (dezimal 126) transponiert --> druckbare Zeichen. | ||||||||||||||||
| SEQ | Blocknummer modulo 64. Es wird wieder 32 addiert --> Bereich von " " (dezimal 32) bis "_" (dezimal 95). | ||||||||||||||||
| TYP | Typ des Blocks. Es gibt folgende Typen:
| ||||||||||||||||
| BCC | Blockprüfzeichen | ||||||||||||||||
| CR | ASCII Carriage Return (dezimal 13) |
Da die Blocklänge dem Empfänger mitgeteilt wird, können die Nutzdaten transparent übertragen werden.
Nach Kermit kam "X-Modem", das schneller und auch hinreichend zuverlässig ist. Dieses Protokoll verwendet eine feste Blocklänge von 128 Byte. Da X-Modem immer komplette Blöcke überträgt, können die Dateien gegebenenenfalls verlängert werden, was manchmal Schwierigkeiten bereitet. Eingeleitet wird wie bei Kermit jeder Block durch das ASCII-Zeichen SOH, der Blockaufbau ist jedoch anders. Da auch hier die Länge des Datenblocks festgelegt ist, können die Nutzdaten transparent übertragen werden. Ein Nachteil gegenüber Kermit ist das Fehlen des Dateinamens. Ein XModem-Block hat folgendes Format:
| SOH | SEQ | KSE | Datenblock (124 Bytes) | BCC |
| SOH | ASCII-Zeichen "Start of Header" |
| SEQ | 1-Byte-Blockzähler |
| KSE | Komplement von SEQ |
| BCC | 1 Byte Prüfsumme. |
Die Gegenstation bestätigt bei XModem nicht mit einem Datenblock, sondern nur mit einem ASCII-Zeichen (positiv: ACK, negativ: NAK). Zum Schluß wird auch kein kompletter Block, sondern nur das ASCII-Zeichen EOT gesendet. Das folgende Bild zeigt den Protokoll-Ablauf.

Bei "Y-Modem" handelt es sich um eine Erweiterung des X-Modem-Protokolls. Die Blockgröße wird an die Leitungsqualität angepaßt (schlechte Leitung --> kleine Blöcke). Die maximale Blockgröße beträgt 1 KByte; bei Verschlechterung der Leitungsqualität wird die Blockgröße dynamisch verkleinert. Verbessert sich die Qualität, werden die Blöcke wieder länger. Es besteht die Möglichkeit, mehrere Dateien in einem Arbeitsschritt zu übertragen.
Inzwischen wird Z-Modem zum Standard bei Mailboxen. Es hat eine verbesserte Prüfsummenberechnung, variable Blocklängen und ist auch wesentlich schneller (bei 2400 Baud ca. 230 Zeichen Nutzinformation/Sekunde). Wie schon bei Kermit werden auch die Dateinamen übertragen, so daß sich mehrere Dateien auf einmal übertragen lassen. Z-Modem ist zudem in der Lage, eine unterbrochene Übertragung an exakt der gleichen Stelle wieder aufzunehmen, an der sie unterbrochen wurde und wird daher fast überall zum automatischen Datenaustausch der Mailboxen untereinander verwendet.
Es gibt mehrere Klassen des MNP-Protokolls, wobei zur Zeit MNP4 und MNP5 die wichtigsten sind.
Die Klasse MNP1 entspricht dem BSC-Protokoll, einem asynchronen, byteorientierten Halbduplexverfahren. Durch den Protokollaufwand (einschließlich Start- und Stoppbits) sinkt der Durchsatz auf 70% der Datenrate. Die Anforderungen an Speicher und Prozessor im Modem sind gering.
Bei MNP2 arbeitet das Verfahren vollduplex. Durch höhere Prozessorleistung beträgt der Durchsatz ca. 84%.
MNP3 arbeitet mit einem anderen Protokoll. Es wird nun synchron, d. h. ohne Start- und Stoppbits übertragen. Der Datenblock wird mit einer CRC-Prüfinfo geschützt. Bei Fehler wird ein Datenblock wiederholt. Das Protokoll lehnt sich an HDLC an. Die Übertragung zwischen Modem und Computer erfolgt aber nach wie vor asynchron mit Start- und Stopbit.
MNP4 fügt zu Klasse 3 zwei neue Konzepte hinzu: Paketlängenoptimierung ("Adaptive Packet Assembly", APA) und Datenphasenoptimierung ("Data Phase Optimization", DPO). APA prüft ständig die Leitungsqualität. Bei guten Verbindungen wird nach und nach die Größe der Datenpakete erhöht, bei schlechter Qualität entsprechend vermindert. So wird er Gesamtdurchsatz erhöht. Der Nachteil zeigt sich bei sporadischen Störungen - es müssen größere Blöcke wiederholt werden. DPO soll den Protokollaufwand vermindern. Das Modem entfernt sich wiederholende Status- und Steurinformationen aus dem Datenstrom. Die Kombination von APA und DPO erhöht den Durchsatz auf 120%.
MNP5 kann zusätzlich die Daten komprimieren, so daß die Übertragungszeit kürzer wird (1,3- bis 2mal so schnell). Dazu wird der Datenstrom in Realzeit analysiert und die Daten komprimiert übertragen (Huffman-Verfahren). Wenn die Daten schon in komprimierter Form vorliegen, hilft das natürlich nicht viel. Bei reiner Textübertragung zeigt sich der Vorteil der Datenkompression jedoch signifikant. Zusätzlich wird der Bitstrom nach MNP4 fehlersicher gemacht.
MNP6 führt zwei weiter Merkmale ein: "Universal Link Negotiation", ULN und "Statistical Duplexing", SD. ULN soll die bestmögliche Verbindung zwischen unterschiedlichen Modems herstellen. Dazu wird beim Verbindungsaufbau mit der niedrigsten Datenrate begonnen und in der Trainingsphase soweit wie möglich hochgeschaltet. SD simuliert bei Halbduplexprotokollen (z. B. V.29) eine Vollduplexverbindung zwischen Modem und Computer. Sendedaten werden zwischengespeichert und in Empfangspausen übertragen (Ping-Pong-System).
MNP7 stellt eine Verbesserung von MNP5 dar. Es wird das Markov-Verfahren verwendet, das aufgrund der Beobachtung des Datenstroms versucht, eine optimale Kompression der Daten zu erreichen. Dazu werden die Tabellen der Huffman-Codierung immer wieder modifiziert. Der Durchsatz kann bis zu 3mal so schnell sein. MNP7 unterstützt zudem V.42bis (siehe unten).
MNP8 kombiniert MNP6 mit MNP7. Es wird jedoch nicht weiterentwickelt, da es nur für V.29-Modems von Interesse ist.
MNP9 nimmt auf der Basis von MNP7 eine Anpassung des Protokolls an V.32-Modems vor. Der Datendurchsatz erreicht vollduplex etwa 300%. Der Zeitaufwand für die Quittierung wird reduziert, indem nicht ein eigener Quittungsblock gesendet wird, sondern die Quittierung einem Datenpaket in Gegenrichtung "aufgeschnallt" wird. Ausserdem wird die nochmalige Sendung fehlerhafter Pakete reduziert. Bei den vorherigen Verfahren wurden nach einer Fehlerquittung alle bis dahin gesendeten Blöcke wiederholt (Quittung und Sendeblöcke laufen nicht synchron, sondern innerhalb eines "Fensters", d. h. es wird nicht die Quittung jedes Blocks abgewartet, sondern munter gesendet, bis eine Fehlermeldung kommt), sondern nur die fehlerhaften Blöcke.
MNP10 verspricht der zukünftige Standard zu werden. Dieses Verfahren soll mit schwankender Leitungsqualität optimal zurechtkommen. Es werden fünf Verbesserungen eingeführt:
"Robust Auto Reliable Mode", der Störungen beim Verbindungsaufbau ausfiltern soll (bisherige Stufen brechen den Aufbau bei Störungen ab).
"Dynamic Speed Shift" passt die Datenrate laufend an die Qualität der Leitung an - es wird also immer mit der höchstmöglichen Datenrate gearbeitet.
"Agressive Packet Adaptive Assembly" verbessert den Durchsatz, indem die Paketgröße beginnenen bei 8 Byte Nutzdaten auf maximal 256 Byte vergrößert wird. Bisher wurde mit der maximalen Paketgröße begonnen und dann stufenweise herabgeschaltet (MNP4 arbeitet mit fixen Größen: 32, 64, 128, 192, 256 Byte).
"Dynamic Transmit Level Adjustment" paßt den Sendepegel an die Leitungsqualität an. Selbst bei einem Signal/Störverhältnis von 14 dB sollen noch Verbindungen möglich sein.
Betrachtet man die derzeit maximale Modemleistung von 28800 BPS, kombiniert mit MNP10, sind Übertragungsraten bis zu mehr als 80 KByte/s erreichbar. V.42 entspricht in seiner Leistung dem MNP4-Protokoll, wobei dieser Standard sogar MNP4-kompatibel ist. V.42 hat jedoch sein eigenes, besseres Protokoll - LAPM (Link Access Procedure for Modems). Wie bei MNP4 werden auch hier die fehlerhaft übertragenen Datenblöcke wiederholt. V.42bis ist der Datenkompressions-Standard der ITU-T; er liefert eine um ca. 35 % höhere Kompressionsrate als MNP5 (Lempel-Ziv-Welch-Kompression). Ein V.42bis-Modem kann zudem erkennen, ob die Daten bereits in komprimierter Form vorliegen (in den meisten Mailboxen sind die Daten bereits "gepackt" verfügbar), und führt die Kompression nur bei solchen Daten durch, die auch komprimiert werden können. V.42bis setzt die Fehlererkennung von V.42 voraus. Das Verfahren ist nicht MNP5-kompatibel, kann aber die Fehlererkennung von MNP4 verarbeiten.
Bei der Verwendung von Datenkompression ist die Übertragungsrate zwischen Computer und Modem auf jeden Fall höher einzustellen als die Datenrate zwischen den beiden Modems selbst.
Zum vorhergehenden Abschnitt |
Zum Inhaltsverzeichnis |
Zum nächsten Abschnitt |